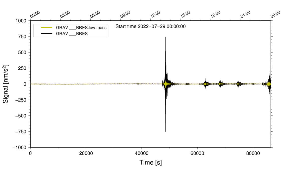
ONSALA SPACE OBSERVATORY / GRAVITY LABORATORY
24 hours of gravity residual, 1-s sampling

The gravity residual is computed by subtracting an empirical tide model
and subtracting the local air pressure with an empirical coefficient.
A linear drift term has also been subtracted.
Offsets from zero arise most often due to pressure anomalies that are either
greater or smaller than average in their regional extent.
Access to older diagrams:
2026-05-12  
2026-05-11  
2026-05-10  
2026-05-09  
2026-05-08  
2026-05-07  
2026-05-06  
2026-05-05  
2026-05-04  
2026-05-03  
2026-05-02  
2026-05-01  
2026-04-30  
2026-04-29  
2026-04-28  
2026-04-27  
2026-04-26  
2026-04-25  
2026-04-24  
2026-04-23  
2026-04-22  
2026-04-21  
2026-04-20  
2026-04-19  
2026-04-18  
2026-04-17  
2026-04-16  
2026-04-15  
2026-04-14  
2026-04-13  
2026-04-12  
2026-04-11  
2026-04-10  
2026-04-09  
2026-04-08  
2026-04-07  
2026-04-06  
2026-04-05  
2026-04-04  
2026-04-03  
2026-04-02  
2026-04-01  
2026-03-31  
2026-03-30  
2026-03-29  
2026-03-28  
2026-03-26  
2026-03-25  
2026-03-24  
2026-03-23  
2026-03-22  
2026-03-21  
2026-03-20  
2026-03-19  
2026-03-18  
2026-03-17  
2026-01-28  
2026-01-27  
2026-01-26  
2026-01-25  
2026-01-24  
2026-01-23  
2026-01-22  
2026-01-21  
2026-01-20  
2026-01-19  
2026-01-18  
2026-01-17  
2026-01-16  
2026-01-15  
2026-01-14  
2026-01-13  
2026-01-12  
2026-01-11  
2026-01-10  
2026-01-09  
2026-01-08  
2026-01-07  
2026-01-06  
2026-01-05  
2026-01-04  
2026-01-03  
2026-01-02  
2026-01-01  
2025-12-31  
2025-12-30  
2025-12-29  
2025-12-28  
2025-12-27  
2025-12-26  
2025-12-25  
2025-12-24  
2025-12-23  
2025-12-22  
2025-12-21  
2025-12-20  
2025-12-19  
2025-12-18  
2025-12-17  
2025-12-16  
2025-12-15  
2025-12-14  
2025-12-13  
2025-12-12  
2025-12-11  
2025-12-10  
2025-12-09  
2025-12-08  
2025-12-07  
2025-12-06  
2025-12-05  
2025-12-04  
2025-12-03  
2025-12-02  
2025-12-01  
2025-11-30  
2025-11-29  
2025-11-28  
2025-11-27  
2025-11-26  
2025-11-25  
2025-11-24  
2025-11-23  
2025-11-22  
2025-11-21  
2025-11-20  
2025-11-19  
2025-11-18  
2025-11-17  
2025-11-16  
2025-11-15  
2025-11-14  
2025-11-13  
2025-11-12  
2025-11-11  
2025-11-10  
2025-11-09  
2025-11-08  
2025-11-07  
2025-11-06  
2025-11-05  
2025-11-04  
2025-11-03  
2025-11-02  
2025-11-01  
2025-10-31  
2025-10-30  
2025-10-29  
2025-10-28  
2025-10-27  
2025-10-26  
2025-10-25  
2025-10-24  
2025-10-23  
2025-10-22  
2025-10-21  
2025-10-20  
2025-10-19  
2025-10-18  
2025-10-17  
2025-10-16  
2025-10-15  
2025-10-14  
2025-10-13  
2025-10-12  
2025-10-11  
2025-10-10  
2025-10-09  
2025-10-08  
2025-10-07  
2025-10-06  
2025-10-05  
2025-10-04  
2025-10-03  
2025-10-02  
2025-10-01  
2025-09-30  
2025-09-29  
2025-09-28  
2025-09-27  
2025-09-26  
2025-09-25  
2025-09-24  
2025-09-23  
2025-09-22  
2025-09-21  
2025-09-20  
2025-09-19  
2025-09-18  
2025-09-17  
2025-09-16  
2025-09-15  
2025-09-14  
2025-09-13  
2025-09-12  
2025-09-11  
2025-09-10  
2025-09-09  
2025-09-08  
2025-09-07  
2025-09-06  
2025-09-05  
2025-09-04  
2025-09-03  
2025-09-02  
2025-09-01  
2025-08-31  
2025-08-30  
2025-08-29  
2025-08-28  
2025-08-27  
2025-08-26  
2025-08-25  
2025-08-24  
2025-08-23  
2025-08-22  
2025-08-21  
2025-08-20  
2025-08-19  
2025-08-18  
2025-08-17  
2025-08-16  
2025-08-15  
2025-08-14  
2025-08-13  
2025-08-12  
2025-08-11  
2025-08-10  
2025-08-09  
2025-08-08  
2025-08-07  
2025-08-06  
2025-08-05  
2025-08-04  
2025-08-03  
2025-08-02  
2025-08-01  
2025-07-31  
2025-07-30  
2025-07-29  
2025-07-28  
2025-07-27  
2025-07-26  
2025-07-25  
2025-07-24  
2025-07-23  
2025-07-22  
2025-07-21  
2025-07-20  
2025-07-19  
2025-07-18  
2025-07-17  
2025-07-16  
2025-07-15  
2025-07-14  
2025-07-13  
2025-07-12  
2025-07-11  
2025-07-10  
2025-07-09  
2025-07-08  
2025-07-07  
2025-07-06  
2025-07-05  
2025-07-04  
2025-07-03  
2025-07-02  
2025-07-01  
2025-06-30  
2025-06-29  
2025-06-28  
2025-06-27  
2025-06-26  
2025-06-25  
2025-06-24  
2025-06-23  
2025-06-22  
2025-06-21  
2025-06-20  
2025-06-19  
2025-06-18  
2025-06-17  
2025-06-16  
2025-06-15  
2025-06-14  
2025-06-13  
2025-06-12  
2025-06-11  
2025-06-10  
2025-06-09  
2025-06-08  
2025-06-07  
2025-06-06  
2025-06-05  
2025-06-04  
2025-06-03  
2025-06-02  
2025-06-01  
2025-05-31  
2025-05-30  
2025-05-29  
2025-05-28  
2025-05-27  
2025-05-26  
2025-05-25  
2025-05-24  
2025-05-23  
2025-05-22  
2025-05-21  
2025-05-20  
2025-05-19  
2025-05-18  
2025-05-17  
2025-05-16  
2025-05-15  
2025-05-14  
2025-05-13  
2025-05-12  
2025-05-11  
2025-05-10  
2025-05-09  
2025-05-08  
2025-05-07  
2025-05-06  
2025-05-05  
2025-05-04  
2025-05-03  
2025-05-02  
2025-05-01  
2025-04-30  
2025-04-29  
2025-04-28  
2025-04-27  
2025-04-26  
2025-04-25  
2025-04-24  
2025-04-23  
2025-04-22  
2025-04-21  
2025-04-20  
2025-04-19  
2025-04-18  
2025-04-17  
2025-04-16  
2025-04-15  
2025-04-14  
2025-04-13  
2025-04-12  
2025-04-11  
2025-04-10  
2025-04-09  
2025-04-08  
2025-04-07  
2025-04-06  
2025-04-05  
2025-04-04  
2025-04-03  
2025-04-02  
2025-04-01  
2025-03-31  
2025-03-30  
2025-03-29  
2025-03-28  
2025-03-27  
2025-03-26  
2025-03-25  
2025-03-24  
2025-03-23  
2025-03-22  
2025-03-21  
2025-03-20  
2025-03-19  
2025-03-18  
2025-03-17  
2025-03-16  
2025-03-15  
2025-03-14  
2025-03-13  
2025-03-12  
2025-03-11  
2025-03-10  
2025-03-09  
2025-03-08  
2025-03-07  
2025-03-06  
2025-03-05  
2025-03-04  
2025-03-03  
2025-03-02  
2025-03-01  
2025-02-28  
2025-02-27  
2025-02-26  
2025-02-25  
2025-02-24  
2025-02-23  
2025-02-22  
2025-02-21  
2025-02-20  
2025-02-19  
2025-02-18  
2025-02-17  
2025-02-16  
2025-02-15  
2025-02-14  
2025-02-13  
2025-02-12  
2025-02-11  
2025-02-10  
2025-02-09  
2025-02-08  
2025-02-07  
2025-02-06  
2025-02-05  
2025-02-04  
2025-02-03  
2025-02-02  
2025-02-01  
2025-01-31  
2025-01-30  
2025-01-29  
2025-01-28  
2025-01-27  
2025-01-26  
2025-01-25  
2025-01-24  
2025-01-23  
2025-01-22  
2025-01-21  
2025-01-20  
2025-01-19  
2025-01-18  
2025-01-17  
2025-01-16  
2025-01-15  
2025-01-14  
2025-01-13  
2025-01-12  
2025-01-11  
2025-01-10  
2025-01-09  
2025-01-08  
2025-01-07  
2025-01-06  
2025-01-05  
2025-01-04  
2025-01-03  
2025-01-02  
2025-01-01  
2023-12-31  
2023-12-30  
2023-12-29  
2023-12-28  
2023-12-27  
2023-12-26  
2023-12-25  
2023-12-24  
2023-12-23  
2023-12-22  
2023-12-21  
2023-12-20  
2023-12-19  
2023-12-18  
2023-12-17  
2023-12-16  
2023-12-15  
2023-12-14  
2023-12-13  
2023-12-12  
2023-12-11  
2023-12-10  
2023-12-09  
2023-12-08  
2023-12-07  
2023-12-06  
2023-12-05  
2023-12-04  
2023-12-03  
2023-12-02  
2023-12-01  
2023-11-30  
2023-11-29  
2023-11-28  
2023-11-27  
2023-11-26  
2023-11-25  
2023-11-24  
2023-11-23  
2023-11-22  
2023-11-21  
2023-11-20  
2023-11-19  
2023-11-18  
2023-11-17  
2023-11-16  
2023-11-15  
2023-11-14  
2023-11-13  
2023-11-12  
2023-11-11  
2023-11-10  
2023-11-09  
2023-11-08  
2023-11-07  
2023-11-06  
2023-11-05  
2023-11-04  
2023-11-03  
2023-11-02  
2023-11-01  
2023-10-31  
2023-10-30  
2023-10-29  
2023-10-28  
2023-10-27  
2023-10-26  
2023-10-25  
2023-10-24  
2023-10-23  
2023-10-22  
2023-10-21  
2023-10-20  
2023-10-19  
2023-10-18  
2023-10-17  
2023-10-16  
2023-10-15  
2023-10-14  
2023-10-13  
2023-10-12  
2023-10-11  
2023-10-10  
2023-10-09  
2023-10-08  
2023-10-07  
2023-10-06  
2023-10-05  
2023-10-04  
2023-10-03  
2023-10-02  
2023-10-01  
2023-09-30  
2023-09-29  
2023-09-28  
2023-09-27  
2023-09-26  
2023-09-25  
2023-09-24  
2023-09-23  
2023-09-22  
2023-09-21  
2023-09-20  
2023-09-19  
2023-09-18  
2023-09-17  
2023-09-16  
2023-09-15  
2023-09-14  
2023-09-13  
2023-09-12  
2023-09-11  
2023-09-10  
2023-09-09  
2023-09-08  
2023-09-07  
2023-09-06  
2023-09-05  
2023-09-04  
2023-09-03  
2023-09-02  
2023-09-01  
2023-08-31  
2023-08-30  
2023-08-29  
2023-08-28  
2023-08-27  
2023-08-26  
2023-08-25  
2023-08-24  
2023-08-23  
2023-08-22  
2023-08-21  
2023-08-20  
2023-08-19  
2023-08-18  
2023-08-17  
2023-08-16  
2023-08-15  
2023-08-14  
2023-08-13  
2023-08-12  
2023-08-11  
2023-08-10  
2023-08-09  
2023-08-08  
2023-08-07  
2023-08-06  
2023-08-05  
2023-08-04  
2023-08-03  
2023-08-02  
2023-08-01  
2023-07-31  
2023-07-30  
2023-07-29  
2023-07-28  
2023-07-27  
2023-07-26  
2023-07-25  
2023-07-24  
2023-07-23  
2023-07-22  
2023-07-21  
2023-07-20  
2023-07-19  
2023-07-18  
2023-07-17  
2023-07-16  
2023-07-15  
2023-07-14  
2023-07-13  
2023-07-12  
2023-07-11  
2023-07-10  
2023-07-09  
2023-07-08  
2023-07-07  
2023-07-06  
2023-07-05  
2023-07-04  
2023-07-03  
2023-07-02  
2023-07-01  
2023-06-30  
2023-06-29  
2023-06-28  
2023-06-27  
2023-06-26  
2023-06-25  
2023-06-24  
2023-06-23  
2023-06-22  
2023-06-21  
2023-06-20  
2023-06-19  
2023-06-18  
2023-06-17  
2023-06-16  
2023-06-15  
2023-06-14  
2023-06-13  
2023-06-12  
2023-06-11  
2023-06-10  
2023-06-09  
2023-06-08  
2023-06-07  
2023-06-06  
2023-06-05  
2023-06-04  
2023-06-03  
2023-06-02  
2023-06-01  
2023-05-31  
2023-05-30  
2023-05-29  
2023-05-28  
2023-05-27  
2023-05-26  
2023-05-25  
2023-05-24  
2023-05-23  
2023-05-22  
2023-05-21  
2023-05-20  
2023-05-19  
2023-05-18  
2023-05-17  
2023-05-16  
2023-05-15  
2023-05-14  
2023-05-13  
2023-05-12  
2023-05-11  
2023-05-10  
2023-05-09  
2023-05-08  
2023-05-07  
2023-05-06  
2023-05-05  
2023-05-04  
2023-05-03  
2023-05-02  
2023-05-01  
2023-04-30  
2023-04-29  
2023-04-28  
2023-04-27  
2023-04-26  
2023-04-25  
2023-04-24  
2023-04-23  
2023-04-22  
2023-04-21  
2023-04-20  
2023-04-19  
2023-04-18  
2023-04-17  
2023-04-16  
2023-04-15  
2023-04-14  
2023-04-13  
2023-04-12  
2023-04-11  
2023-04-10  
2023-04-09  
2023-04-08  
2023-04-07  
2023-04-06  
2023-04-05  
2023-04-04  
2023-04-03  
2023-04-02  
2023-04-01  
2023-03-31  
2023-03-30  
2023-03-29  
2023-03-28  
2023-03-27  
2023-03-26  
2023-03-25  
2023-03-24  
2023-03-23  
2023-03-22  
2023-03-21  
2023-03-20  
2023-03-19  
2023-03-18  
2023-03-17  
2023-03-16  
2023-03-15  
2023-03-14  
2023-03-13  
2023-03-12  
2023-03-11  
2023-03-10  
2023-03-09  
2023-03-08  
2023-03-07  
2023-03-06  
2023-03-05  
2023-03-04  
2023-03-03  
2023-03-02  
2023-03-01  
2023-02-28  
2023-02-27  
2023-02-26  
2023-02-25  
2023-02-24  
2023-02-23  
2023-02-22  
2023-02-21  
2023-02-20  
2023-02-19  
2023-02-18  
2023-02-17  
2023-02-16  
2023-02-15  
2023-02-14  
2023-02-13  
2023-02-12  
2023-02-11  
2023-02-10  
2023-02-09  
2023-02-08  
2023-02-07  
2023-02-06  
2023-02-05  
2023-02-04  
2023-02-03  
2023-02-02  
2023-02-01  
2023-01-31  
2023-01-30  
2023-01-29  
2023-01-28  
2023-01-27  
2023-01-26  
2023-01-25  
2023-01-24  
2023-01-23  
2023-01-22  
2023-01-21  
2023-01-20  
2023-01-19  
2023-01-18  
2023-01-17  
2023-01-16  
2023-01-15  
2023-01-14  
2023-01-13  
2023-01-12  
2023-01-11  
2023-01-10  
2023-01-09  
2023-01-08  
2023-01-07  
2023-01-06  
2023-01-05  
2023-01-04  
2023-01-03  
2023-01-02  
2023-01-01  
2022-12-31  
2022-12-30  
2022-12-29  
2022-12-28  
2022-12-27  
2022-12-26  
2022-12-25  
2022-12-24  
2022-12-23  
2022-12-22  
2022-12-21  
2022-12-20  
2022-12-19  
2022-12-18  
2022-12-17  
2022-12-16  
2022-12-15  
2022-12-14  
2022-12-13  
2022-12-12  
2022-12-11  
2022-12-10  
2022-12-09  
2022-12-08  
2022-12-07  
2022-12-06  
2022-12-05  
2022-12-04  
2022-12-03  
2022-12-02  
2022-12-01  
2022-11-30  
2022-11-29  
2022-11-28  
2022-11-27  
2022-11-26  
2022-11-25  
2022-11-24  
2022-11-23  
2022-11-22  
2022-11-21  
2022-11-20  
2022-11-19  
2022-11-18  
2022-11-17  
2022-11-16  
2022-11-15  
2022-11-14  
2022-11-13  
2022-11-12  
2022-11-11  
2022-11-10  
2022-11-09  
2022-11-08  
2022-11-07  
2022-11-06  
2022-11-05  
2022-11-04  
2022-11-03  
2022-11-02  
2022-11-01  
2022-10-31  
2022-10-30  
2022-10-29  
2022-10-28  
2022-10-27  
2022-10-26  
2022-10-25  
2022-10-24  
2022-10-23  
2022-10-22  
2022-10-21  
2022-10-20  
2022-10-19  
2022-10-18  
2022-10-17  
2022-10-16  
2022-10-15  
2022-10-14  
2022-10-13  
2022-10-12  
2022-10-11  
2022-10-10  
2022-10-09  
2022-10-08  
2022-10-07  
2022-10-06  
2022-10-05  
2022-10-04  
2022-10-03  
2022-10-02  
2022-10-01  
2022-09-30  
2022-09-29  
2022-09-28  
2022-09-27  
2022-09-26  
2022-09-25  
2022-09-24  
2022-09-23  
2022-09-22  
2022-09-21  
2022-09-20  
2022-09-19  
2022-09-18  
2022-09-17  
2022-09-16  
2022-09-15  
2022-09-14  
2022-09-13  
2022-09-12  
2022-09-11  
2022-09-10  
2022-09-09  
2022-09-08  
2022-09-07  
2022-09-06  
2022-09-05  
2022-09-04  
2022-09-03  
2022-09-02  
2022-09-01  
2022-08-31  
2022-08-30  
2022-08-29  
2022-08-28  
2022-08-27  
2022-08-26  
2022-08-25  
2022-08-24  
2022-08-23  
2022-08-22  
2022-08-21  
2022-08-20  
2022-08-19  
2022-08-18  
2022-08-17  
2022-08-16  
2022-08-15  
2022-08-14  
2022-08-13  
2022-08-12  
2022-08-11  
2022-08-10  
2022-08-09  
2022-08-08  
2022-08-07  
2022-08-06  
2022-08-05  
2022-08-04  
2022-08-03  
2022-08-02  
2022-08-01  
2022-07-31  
2022-07-30  
2022-07-29  
2022-07-28  
2022-07-27  
2022-07-26  
2022-07-25  
2022-07-24  
2022-07-23  
2022-07-22  
2022-07-21  
2022-07-20  
2022-07-19  
2022-07-18  
2022-07-17  
2022-07-16  
2022-07-15  
2022-07-14  
2022-07-13  
2022-07-12  
2022-07-11  
2022-07-10  
2022-07-09  
2022-07-08  
2022-07-07  
2022-07-06  
2022-07-05  
2022-07-04  
2022-07-03  
2022-07-02  
2022-07-01  
2022-06-30  
2022-06-29  
2022-06-28  
2022-06-27  
2022-06-26  
2022-06-25  
2022-06-24  
2022-06-23  
2022-06-22  
2022-06-21  
2022-06-20  
2022-06-19  
2022-06-18  
2022-06-17  
2022-06-16  
2022-06-15  
2022-06-14  
2022-06-13  
2022-06-12  
2022-06-11  
2022-06-10  
2022-06-09  
2022-06-08  
2022-06-07  
2022-06-06  
2022-06-05  
2022-06-04  
2022-06-03  
2022-06-02  
2022-06-01  
2022-05-31  
2022-05-30  
2022-05-29  
2022-05-28  
2022-05-27  
2022-05-26  
2022-05-25  
2022-05-24  
2022-05-23  
2022-05-22  
2022-05-21  
2022-05-20  
2022-05-19  
2022-05-18  
2022-05-17  
2022-05-16  
2022-05-15  
2022-05-14  
2022-05-13  
2022-05-12  
2022-05-11  
2022-05-10  
2022-05-09  
2022-05-08  
2022-05-07  
2022-05-06  
2022-05-05  
2022-05-04  
2022-05-03  
2022-05-02  
2022-05-01  
2022-04-30  
2022-04-29  
2022-04-28  
2022-04-27  
2022-04-26  
2022-04-25  
2022-04-24  
2022-04-23  
2022-04-22  
2022-04-21  
2022-04-20  
2022-04-19  
2022-04-18  
2022-04-17  
2022-04-16  
2022-04-15  
2022-04-14  
2022-04-13  
2022-04-12  
2022-04-11  
2022-04-10  
2022-04-09  
2022-04-08  
2022-04-07  
2022-04-06  
2022-04-05  
2022-04-04  
2022-04-03  
2022-04-02  
2022-04-01  
2022-03-31  
2022-03-30  
2022-03-29  
2022-03-28  
2022-03-27  
2022-03-26  
2022-03-25  
2022-03-24  
2022-03-23  
2022-03-22  
2022-03-21  
2022-03-20  
2022-03-19  
2022-03-18  
2022-03-17  
2022-03-16  
2022-03-15  
2022-03-14  
2022-03-13  
2022-03-12  
2022-03-11  
2022-03-10  
2022-03-09  
2022-03-08  
2022-03-07  
2022-03-06  
2022-03-05  
2022-03-04  
2022-03-03  
2022-03-02  
2022-03-01  
2022-02-28  
2022-02-27  
2022-02-26  
2022-02-25  
2022-02-24  
2022-02-23  
2022-02-22  
2022-02-21  
2022-02-20  
2022-02-19  
2022-02-18  
2022-02-17  
2022-02-16  
2022-02-15  
2022-02-14  
2022-02-13  
2022-02-12  
2022-02-11  
2022-02-10  
2022-02-09  
2022-02-08  
2022-02-07  
2022-02-06  
2022-02-05  
2022-02-04  
2022-02-03  
2022-02-02  
2022-02-01  
2022-01-31  
2022-01-30  
2022-01-29  
2022-01-28  
2022-01-27  
2022-01-26  
2022-01-25  
2022-01-24  
2022-01-23  
2022-01-22  
2022-01-21  
2022-01-20  
2022-01-19  
2022-01-18  
2022-01-17  
2022-01-16  
2022-01-15  
2022-01-14  
2022-01-13  
2022-01-12  
2022-01-11  
2022-01-10  
2022-01-09  
2022-01-08  
2022-01-07  
2022-01-06  
2022-01-05  
2022-01-04  
2022-01-03  
2022-01-02  
2022-01-01  
2021-12-31  
2021-12-30  
2021-12-29  
2021-12-28  
2021-12-27  
2021-12-26  
2021-12-25  
2021-12-24  
2021-12-23  
2021-12-22  
2021-12-21  
2021-12-20  
2021-12-19  
2021-12-18  
2021-12-17  
2021-12-16  
2021-12-15  
2021-12-14  
2021-12-13  
2021-12-12  
2021-12-11  
2021-12-10  
2021-12-09  
2021-12-08  
2021-12-07  
2021-12-06  
2021-12-05  
2021-12-04  
2021-12-03  
2021-12-02  
2021-12-01  
2021-11-30  
2021-11-29  
2021-11-28  
2021-11-27  
2021-11-26  
2021-11-25  
2021-11-24  
2021-11-23  
2021-11-22  
2021-11-21  
2021-11-20  
2021-11-19  
2021-11-18  
2021-11-17  
2021-11-16  
2021-11-15  
2021-11-14  
2021-11-13  
2021-11-12  
2021-11-11  
2021-11-10  
2021-11-09  
2021-11-08  
2021-11-07  
2021-11-06  
2021-11-05  
2021-11-04  
2021-11-03  
2021-11-02  
2021-11-01  
2021-10-31  
2021-10-30  
2021-10-29  
2021-10-28  
2021-10-27  
2021-10-26  
2021-10-25  
2021-10-24  
2021-10-23  
2021-10-22  
2021-10-21  
2021-10-20  
2021-10-19  
2021-10-18  
2021-10-17  
2021-10-16  
2021-10-15  
2021-10-14  
2021-10-13  
2021-10-12  
2021-10-11  
2021-10-10  
2021-10-09  
2021-10-08  
2021-10-07  
2021-10-06  
2021-10-05  
2021-10-04  
2021-10-03  
2021-10-02  
2021-10-01  
2021-09-30  
2021-09-29  
2021-09-28  
2021-09-27  
2021-09-26  
2021-09-25  
2021-09-24  
2021-09-23  
2021-09-22  
2021-09-21  
2021-09-20  
2021-09-19  
2021-09-18  
2021-09-17  
2021-09-16  
2021-09-15  
2021-09-14  
2021-09-13  
2021-09-12  
2021-09-11  
2021-09-10  
2021-09-09  
2021-09-08  
2021-09-07  
2021-09-06  
2021-09-05  
2021-09-04  
2021-09-03  
2021-09-02  
2021-09-01  
2021-08-31  
2021-08-30  
2021-08-29  
2021-08-28  
2021-08-27  
2021-08-26  
2021-08-25  
2021-08-24  
2021-08-23  
2021-08-22  
2021-08-21  
2021-08-20  
2021-08-19  
2021-08-18  
2021-08-17  
2021-08-16  
2021-08-15  
2021-08-14  
2021-08-13  
2021-08-12  
2021-08-11  
2021-08-10  
2021-08-09  
2021-08-08  
2021-08-07  
2021-08-06  
2021-08-05  
2021-08-04  
2021-08-03  
2021-08-02  
2021-08-01  
2021-07-31  
2021-07-30  
2021-07-29  
2021-07-28  
2021-07-27  
2021-07-26  
2021-07-25  
2021-07-24  
2021-07-23  
2021-07-22  
2021-07-21  
2021-07-20  
2021-07-19  
2021-07-18  
2021-07-17  
2021-07-16  
2021-07-15  
2021-07-14  
2021-07-13  
2021-07-12  
2021-07-11  
2021-07-10  
2021-07-09  
2021-07-08  
2021-07-07  
2021-07-06  
2021-07-05  
2021-07-04  
2021-07-03  
2021-07-02  
2021-07-01  
2021-06-30  
2021-06-29  
2021-06-28  
2021-06-27  
2021-06-26  
2021-06-25  
2021-06-24  
2021-06-23  
2021-06-22  
2021-06-21  
2021-06-20  
2021-06-19  
2021-06-18  
2021-06-17  
2021-06-16  
2021-06-15  
2021-06-14  
2021-06-13  
2021-06-12  
2021-06-11  
2021-06-10  
2021-06-09  
2021-06-08  
2021-06-07  
2021-06-06  
2021-06-05  
2021-06-04  
2021-06-03  
2021-06-02  
2021-06-01  
2021-05-31  
2021-05-30  
2021-05-29  
2021-05-28  
2021-05-27  
2021-05-26  
2021-05-25  
2021-05-24  
2021-05-23  
2021-05-22  
2021-05-21  
2021-05-20  
2021-05-19  
2021-05-18  
2021-05-17  
2021-05-16  
2021-05-15  
2021-05-14  
2021-05-13  
2021-05-12  
2021-05-11  
2021-05-10  
2021-05-09  
2021-05-08  
2021-05-07  
2021-05-06  
2021-05-05  
2021-05-04  
2021-05-03  
2021-05-02  
2021-05-01  
2021-04-30  
2021-04-29  
2021-04-28  
2021-04-27  
2021-04-26  
2021-04-25  
2021-04-24  
2021-04-23  
2021-04-22  
2021-04-21  
2021-04-20  
2021-04-19  
2021-04-18  
2021-04-17  
2021-04-16  
2021-04-15  
2021-04-14  
2021-04-13  
2021-04-12  
2021-04-11  
2021-04-10  
2021-04-09  
2021-04-08  
2021-04-07  
2021-04-06  
2021-04-05  
2021-04-04  
2021-04-03  
2021-04-02  
2021-04-01  
2021-03-31  
2021-03-30  
2021-03-29  
2021-03-28  
2021-03-27  
2021-03-26  
2021-03-25  
2021-03-24  
2021-03-23  
2021-03-22  
2021-03-21  
2021-03-20  
2021-03-19  
2021-03-18  
2021-03-17  
2021-03-16  
2021-03-15  
2021-03-14  
2021-03-13  
2021-03-12  
2021-03-11  
2021-03-10  
2021-03-09  
2021-03-08  
2021-03-07  
2021-03-06  
2021-03-05  
2021-03-04  
2021-03-03  
2021-03-02  
2021-03-01  
2021-02-28  
2021-02-27  
2021-02-26  
2021-02-25  
2021-02-24  
2021-02-23  
2021-02-22  
2021-02-21  
2021-02-20  
2021-02-19  
2021-02-18  
2021-02-17  
2021-02-16  
2021-02-15  
2021-02-14  
2021-02-13  
2021-02-12  
2021-02-11  
2021-02-10  
2021-02-09  
2021-02-08  
2021-02-07  
2021-02-06  
2021-02-05  
2021-02-04  
2021-02-03  
2021-02-02  
2021-02-01  
2021-01-31  
2021-01-30  
2021-01-29  
2021-01-28  
2021-01-27  
2021-01-26  
2021-01-25  
2021-01-24  
2021-01-23  
2021-01-22  
2021-01-21  
2021-01-20  
2021-01-19  
2021-01-18  
2021-01-17  
2021-01-16  
2021-01-15  
2021-01-14  
2021-01-13  
2021-01-12  
2021-01-11  
2021-01-10  
2021-01-09  
2021-01-08  
2021-01-07  
2021-01-06  
2021-01-05  
2021-01-04  
2021-01-03  
2021-01-02  
2021-01-01  
2020-12-31  
2020-12-30  
2020-12-29  
2020-12-28  
2020-12-27  
2020-12-26  
2020-12-25  
2020-12-24  
2020-12-23  
2020-12-22  
2020-12-21  
2020-12-20  
2020-12-19  
2020-12-18  
2020-12-17  
2020-12-16  
2020-12-15  
2020-12-14  
2020-12-13  
2020-12-12  
2020-12-11  
2020-12-10  
2020-12-09  
2020-12-08  
2020-12-07  
2020-12-06  
2020-12-05  
2020-12-04  
2020-12-03  
2020-12-02  
2020-12-01  
2020-11-30  
2020-11-29  
2020-11-28  
2020-11-27  
2020-11-26  
2020-11-25  
2020-11-24  
2020-11-23  
2020-11-22  
2020-11-21  
2020-11-20  
2020-11-19  
2020-11-18  
2020-11-17  
2020-11-16  
2020-11-15  
2020-11-14  
2020-11-13  
2020-11-12  
2020-11-11  
2020-11-10  
2020-11-09  
2020-11-08  
2020-11-07  
2020-11-06  
2020-11-05  
2020-11-04  
2020-11-03  
2020-11-02  
2020-11-01  
2020-10-31  
2020-10-30  
2020-10-29  
2020-10-28  
2020-10-27  
2020-10-26  
2020-10-25  
2020-10-24  
2020-10-23  
2020-10-22  
2020-10-21  
2020-10-20  
2020-10-19  
2020-10-18  
2020-10-17  
2020-10-16  
2020-10-15  
2020-10-14  
2020-10-13  
2020-10-12  
2020-10-11  
2020-10-10  
2020-10-09  
2020-10-08  
2020-10-07  
2020-10-06  
2020-10-05  
2020-10-04  
2020-10-03  
2020-10-02  
2020-10-01  
2020-09-30  
2020-09-29  
2020-09-28  
2020-09-27  
2020-09-26  
2020-09-25  
2020-09-24  
2020-09-23  
2020-09-22  
2020-09-21  
2020-09-20  
2020-09-19  
2020-09-18  
2020-09-17  
2020-09-16  
2020-09-15  
2020-09-14  
2020-09-13  
2020-09-12  
2020-09-11  
2020-09-10  
2020-09-09  
2020-09-08  
2020-09-07  
2020-09-06  
2020-09-05  
2020-09-04  
2020-09-03  
2020-09-02  
2020-09-01  
2020-08-31  
2020-08-30  
2020-08-29  
2020-08-28  
2020-08-27  
2020-08-26  
2020-08-25  
2020-08-24  
2020-08-23  
2020-08-22  
2020-08-21  
2020-08-20  
2020-08-19  
2020-08-18  
2020-08-17  
2020-08-16  
2020-08-15  
2020-08-14  
2020-08-13  
2020-08-12  
2020-08-11  
2020-08-10  
2020-08-09  
2020-08-08  
2020-08-07  
2020-08-06  
2020-08-05  
2020-08-04  
2020-08-03  
2020-08-02  
2020-08-01  
2020-07-31  
2020-07-30  
2020-07-29  
2020-07-28  
2020-07-27  
2020-07-26  
2020-07-25  
2020-07-24  
2020-07-23  
2020-07-22  
2020-07-21  
2020-07-20  
2020-07-19  
2020-07-18  
2020-07-17  
2020-07-16  
2020-07-15  
2020-07-14  
2020-07-13  
2020-07-12  
2020-07-11  
2020-07-10  
2020-07-09  
2020-07-08  
2020-07-07  
2020-07-06  
2020-07-05  
2020-07-04  
2020-07-03  
2020-07-02  
2020-07-01  
2020-06-30  
2020-06-29  
2020-06-28  
2020-06-27  
2020-06-26  
2020-06-25  
2020-06-24  
2020-06-23  
2020-06-22  
2020-06-21  
2020-06-20  
2020-06-19  
2020-06-18  
2020-06-17  
2020-06-16  
2020-06-15  
2020-06-14  
2020-06-13  
2020-06-12  
2020-06-11  
2020-06-10  
2020-06-09  
2020-06-08  
2020-06-07  
2020-06-06  
2020-06-05  
2020-06-04  
2020-06-03  
2020-06-02  
2020-06-01  
2020-05-31  
2020-05-30  
2020-05-29  
2020-05-28  
2020-05-27  
2020-05-26  
2020-05-25  
2020-05-24  
2020-05-23  
2020-05-22  
2020-05-21  
2020-05-20  
2020-05-19  
2020-05-18  
2020-05-17  
2020-05-16  
2020-05-15  
2020-05-14  
2020-05-13  
2020-05-12  
2020-05-11  
2020-05-10  
2020-05-09  
2020-05-08  
2020-05-07  
2020-05-06  
2020-05-05  
2020-05-04  
2020-05-03  
2020-05-02  
2020-05-01  
2020-04-30  
2020-04-29  
2020-04-28  
2020-04-27  
2020-04-26  
2020-04-25  
2020-04-24  
2020-04-23  
2020-04-22  
2020-04-21  
2020-04-20  
2020-04-19  
2020-04-18  
2020-04-17  
2020-04-16  
2020-04-15  
2020-04-14  
2020-04-13  
2020-04-12  
2020-04-11  
2020-04-10  
2020-04-09  
2020-04-08  
2020-04-07  
2020-04-06  
2020-04-05  
2020-04-04  
2020-04-03  
2020-04-02  
2020-04-01  
2020-03-31  
2020-03-30  
2020-03-29  
2020-03-28  
2020-03-27  
2020-03-26  
2020-03-25  
2020-03-24  
2020-03-23  
2020-03-22  
2020-03-21  
2020-03-20  
2020-03-19  
2020-03-18  
2020-03-17  
2020-03-16  
2020-03-15  
2020-03-14  
2020-03-13  
2020-03-12  
2020-03-11  
2020-03-10  
2020-03-09  
2020-03-08  
2020-03-07  
2020-03-06  
2020-03-05  
2020-03-04  
2020-03-03  
2020-03-02  
2020-03-01  
2020-02-29  
2020-02-28  
2020-02-27  
2020-02-26  
2020-02-25  
2020-02-24  
2020-02-23  
2020-02-22  
2020-02-21  
2020-02-20  
2020-02-19  
2020-02-18  
2020-02-17  
2020-02-16  
2020-02-15  
2020-02-14  
2020-02-13  
2020-02-12  
2020-02-11  
2020-02-10  
2020-02-09  
2020-02-08  
2020-02-07  
2020-02-06  
2020-02-05  
2020-02-04  
2020-02-03  
2020-02-02  
2020-02-01  
2020-01-31  
2020-01-30  
2020-01-29  
2020-01-28  
2020-01-27  
2020-01-26  
2020-01-25  
2020-01-24  
2020-01-23  
2020-01-22  
2020-01-21  
2020-01-20  
2020-01-19  
2020-01-18  
2020-01-17  
2020-01-16  
2020-01-15  
2020-01-14  
2020-01-13  
2020-01-12  
2020-01-11  
2020-01-10  
2020-01-09  
2020-01-08  
2020-01-07  
2020-01-06  
2020-01-05  
2020-01-04  
2020-01-03  
2020-01-02  
2020-01-01  
2019-12-31  
2019-12-30  
2019-12-29  
2019-12-28  
2019-12-27  
2019-12-26  
2019-12-25  
2019-12-24  
2019-12-23  
2019-12-22  
2019-12-21  
2019-12-20  
2019-12-19  
2019-12-18  
2019-12-17  
2019-12-16  
2019-12-15  
2019-12-14  
2019-12-13  
2019-12-12  
2019-12-11  
2019-12-10  
2019-12-09  
2019-12-08  
2019-12-07  
2019-12-06  
2019-12-05  
2019-12-04  
2019-12-03  
2019-12-02  
2019-12-01  
2019-11-30  
2019-11-29  
2019-11-28  
2019-11-27  
2019-11-26  
2019-11-25  
2019-11-24  
2019-11-23  
2019-11-22  
2019-11-21  
2019-11-20  
2019-11-19  
2019-11-18  
2019-11-17  
2019-11-16  
2019-11-15  
2019-11-14  
2019-11-13  
2019-11-12  
2019-11-11  
2019-11-10  
2019-11-09  
2019-11-08  
2019-11-07  
2019-11-06  
2019-11-05  
2019-11-04  
2019-11-03  
2019-11-02  
2019-11-01  
2019-10-31  
2019-10-30  
2019-10-29  
2019-10-28  
2019-10-27  
2019-10-26  
2019-10-25  
2019-10-24  
2019-10-23  
2019-10-22  
2019-10-21  
2019-10-20  
2019-10-19  
2019-10-18  
2019-10-17  
2019-10-16  
2019-10-15  
2019-10-14  
2019-10-13  
2019-10-12  
2019-10-11  
2019-10-10  
2019-10-09  
2019-10-08  
2019-10-07  
2019-10-06  
2019-10-05  
2019-10-04  
2019-10-03  
2019-10-02  
2019-10-01  
2019-09-30  
2019-09-29  
2019-09-28  
2019-09-27  
2019-09-26  
2019-09-25  
2019-09-24  
2019-09-23  
2019-09-22  
2019-09-21  
2019-09-20  
2019-09-19  
2019-09-18  
2019-09-17  
2019-09-16  
2019-09-15  
2019-09-14  
2019-09-13  
2019-09-12  
2019-09-11  
2019-09-10  
2019-09-09  
2019-09-08  
2019-09-07  
2019-09-06  
2019-09-05  
2019-09-04  
2019-09-03  
2019-09-02  
2019-09-01  
2019-08-31  
2019-08-30  
2019-08-29  
2019-08-28  
2019-08-27  
2019-08-26  
2019-08-25  
2019-08-24  
2019-08-23  
2019-08-22  
2019-08-21  
2019-08-20  
2019-08-19  
2019-08-18  
2019-08-17  
2019-08-16  
2019-08-15  
2019-08-14  
2019-08-13  
2019-08-12  
2019-08-11  
2019-08-10  
2019-08-09  
2019-08-08  
2019-08-07  
2019-08-06  
2019-08-05  
2019-08-04  
2019-08-03  
2019-08-02  
2019-08-01  
2019-07-31  
2019-07-30  
2019-07-29  
2019-07-28  
2019-07-27  
2019-07-26  
2019-07-25  
2019-07-24  
2019-07-23  
2019-07-22  
2019-07-21  
2019-07-20  
2019-07-19  
2019-07-18  
2019-07-17  
2019-07-16  
2019-07-15  
2019-07-14  
2019-07-13  
2019-07-12  
2019-07-11  
2019-07-10  
2019-07-09  
2019-07-08  
2019-07-07  
2019-07-06  
2019-07-05  
2019-07-04  
2019-07-03  
2019-07-02  
2019-07-01  
2019-06-30  
2019-06-29  
2019-06-28  
2019-06-27  
2019-06-26  
2019-06-25  
2019-06-24  
2019-06-23  
2019-06-22  
2019-06-21  
2019-06-20  
2019-06-19  
2019-06-18  
2019-06-17  
2019-06-16  
2019-06-15  
2019-06-14  
2019-06-13  
2019-06-12  
2019-06-11  
2019-06-10  
2019-06-09  
2019-06-08  
2019-06-07  
2019-06-06  
2019-06-05  
2019-06-04  
2019-06-03  
2019-06-02  
2019-06-01  
2019-05-31  
2019-05-30  
2019-05-29  
2019-05-28  
2019-05-27  
2019-05-26  
2019-05-25  
2019-05-24  
2019-05-23  
2019-05-22  
2019-05-21  
2019-05-20  
2019-05-19  
2019-05-18  
2019-05-17  
2019-05-16  
2019-05-15  
2019-05-14  
2019-05-13  
2019-05-12  
2019-05-11  
2019-05-10  
2019-05-09  
2019-05-08  
2019-05-07  
2019-05-06  
2019-05-05  
2019-05-04  
2019-05-03  
2019-05-02  
2019-05-01  
2019-04-30  
2019-04-29  
2019-04-28  
2019-04-27  
2019-04-26  
2019-04-25  
2019-04-24  
2019-04-23  
2019-04-22  
2019-04-21  
2019-04-20  
2019-04-19  
2019-04-18  
2019-04-17  
2019-04-16  
2019-04-15  
2019-04-14  
2019-04-13  
2019-04-12  
2019-04-11  
2019-04-10  
2019-04-09  
2019-04-08  
2019-04-07  
2019-04-06  
2019-04-05  
2019-04-04  
2019-04-03  
2019-04-02  
2019-04-01  
2019-03-31  
2019-03-30  
2019-03-29  
2019-03-28  
2019-03-27  
2019-03-26  
2019-03-25  
2019-03-24  
2019-03-23  
2019-03-22  
2019-03-21  
2019-03-20  
2019-03-19  
2019-03-18  
2019-03-17  
2019-03-16  
2019-03-15  
2019-03-14  
2019-03-13  
2019-03-12  
2019-03-11  
2019-03-10  
2019-03-09  
2019-03-08  
2019-03-07  
2019-03-06  
2019-03-05  
2019-03-04  
2019-03-03  
2019-03-02  
2019-03-01  
2019-02-28  
2019-02-27  
2019-02-26  
2019-02-25  
2019-02-24  
2019-02-23  
2019-02-22  
2019-02-21  
2019-02-20  
2019-02-19  
2019-02-18  
2019-02-17  
2019-02-16  
2019-02-15  
2019-02-14  
2019-02-13  
2019-02-12  
2019-02-11  
2019-02-10  
2019-02-09  
2019-02-08  
2019-02-07  
2019-02-06  
2019-02-05  
2019-02-04  
2019-02-03  
2019-02-02  
2019-02-01  
2019-01-31  
2019-01-30  
2019-01-29  
2019-01-28  
2019-01-27  
2019-01-26  
2019-01-25  
2019-01-24  
2019-01-23  
2019-01-22  
2019-01-21  
2019-01-20  
2019-01-19  
2019-01-18  
2019-01-17  
2019-01-16  
2019-01-15  
2019-01-14  
2019-01-13  
2019-01-12  
2019-01-11  
2019-01-10  
2019-01-09  
2019-01-08  
2019-01-07  
2019-01-06  
2019-01-05  
2019-01-04  
2019-01-03  
2019-01-02  
2019-01-01  
2018-12-31  
2018-12-30  
2018-12-29  
2018-12-28  
2018-12-27  
2018-12-26  
2018-12-25  
2018-12-24  
2018-12-23  
2018-12-22  
2018-12-21  
2018-12-20  
2018-12-19  
2018-12-18  
2018-12-17  
2018-12-16  
2018-12-15  
2018-12-14  
2018-12-13  
2018-12-12  
2018-12-11  
2018-12-10  
2018-12-09  
2018-12-08  
2018-12-07  
2018-12-06  
2018-12-05  
2018-12-04  
2018-12-03  
2018-12-02  
2018-12-01  
2018-11-30  
2018-11-29  
2018-11-28  
2018-11-27  
2018-11-26  
2018-11-25  
2018-11-24  
2018-11-23  
2018-11-22  
2018-11-21  
2018-11-20  
2018-11-19  
2018-11-18  
2018-11-17  
2018-11-16  
2018-11-15  
2018-11-14  
2018-11-13  
2018-11-12  
2018-11-11  
2018-11-10  
2018-11-09  
2018-11-08  
2018-11-07  
2018-11-06  
2018-11-05  
2018-11-04  
2018-11-03  
2018-11-02  
2018-11-01  
2018-10-31  
2018-10-30  
2018-10-29  
2018-10-28  
2018-10-27  
2018-10-26  
2018-10-25  
2018-10-24  
2018-10-23  
2018-10-22  
2018-10-21  
2018-10-20  
2018-10-19  
2018-10-18  
2018-10-17  
2018-10-16  
2018-10-15  
2018-10-14  
2018-10-11  
2018-10-10  
2018-10-09  
2018-10-08  
2018-10-07  
2018-10-06  
2018-10-05  
2018-10-04  
2018-10-03  
2018-10-02  
2018-10-01  
2018-09-30  
2018-09-29  
2018-09-28  
2018-09-27  
2018-09-26  
2018-09-25  
2018-09-24  
2018-09-23  
2018-09-22  
2018-09-21  
2018-09-20  
2018-09-19  
2018-09-18  
2018-09-17  
2018-09-16  
2018-09-15  
2018-09-14  
2018-09-13  
2018-09-12  
2018-09-11  
2018-09-10  
2018-09-09  
2018-09-08  
2018-09-07  
2018-09-06  
2018-09-05  
2018-09-04  
2018-09-03  
2018-09-02  
2018-09-01  
2018-08-31  
2018-08-30  
2018-08-29  
2018-08-28  
2018-08-27  
2018-08-26  
2018-08-25  
2018-08-24  
2018-08-23  
2018-08-22  
2018-08-21  
2018-08-20  
2018-08-19  
2018-08-18  
2018-08-17  
2018-08-16  
2018-08-15  
2018-08-14  
2018-08-13  
2018-08-12  
2018-08-11  
2018-08-10  
2018-08-09  
2018-08-08  
2018-08-07  
2018-08-06  
2018-08-05  
2018-08-04  
2018-08-03  
2018-08-02  
2018-08-01  
2018-07-31  
2018-07-30  
2018-07-29  
2018-07-28  
2018-07-27  
2018-07-26  
2018-07-25  
2018-07-24  
2018-07-23  
2018-07-22  
2018-07-21  
2018-07-20  
2018-07-19  
2018-07-18  
2018-07-17  
2018-07-16  
2018-07-15  
2018-07-14  
2018-07-13  
2018-07-12  
2018-07-11  
2018-07-10  
2018-07-09  
2018-07-08  
2018-07-07  
2018-07-06  
2018-07-05  
2018-07-04  
2018-07-03  
2018-07-02  
2018-07-01  
2018-06-30  
2018-06-29  
2018-06-28  
2018-06-27  
2018-06-26  
2018-06-25  
2018-06-24  
2018-06-23  
2018-06-22  
2018-06-21  
2018-06-20  
2018-06-19  
2018-06-18  
2018-06-17  
2018-06-16  
2018-06-15  
2018-06-14  
2018-06-13  
2018-06-12  
2018-06-11  
2018-06-10  
2018-06-09  
2018-06-08  
2018-06-07  
2018-06-06  
2018-06-05  
2018-06-04  
2018-06-03  
2018-06-02  
2018-06-01  
2018-05-31  
2018-05-30  
2018-05-29  
2018-05-28  
2018-05-27  
2018-05-26  
2018-05-25  
2018-05-24  
2018-05-23  
2018-05-22  
2018-05-21  
2018-05-20  
2018-05-19  
2018-05-18  
2018-05-17  
2018-05-16  
2018-05-15  
2018-05-14  
2018-05-13  
2018-05-12  
2018-05-11  
2018-05-10  
2018-05-09  
2018-05-08  
2018-05-07  
2018-05-06  
2018-05-05  
2018-05-04  
2018-05-03  
2018-05-02  
2018-05-01  
2018-04-30  
2018-04-29  
2018-04-28  
2018-04-27  
2018-04-26  
2018-04-25  
2018-04-24  
2018-04-23  
2018-04-22  
2018-04-21  
2018-04-20  
2018-04-19  
2018-04-18  
2018-04-17  
2018-04-16  
2018-04-15  
2018-04-14  
2018-04-13  
2018-04-12  
2018-04-11  
2018-04-10  
2018-04-09  
2018-04-08  
2018-04-07  
2018-04-06  
2018-04-05  
2018-04-04  
2018-04-03  
2018-04-02  
2018-04-01  
2018-03-31  
2018-03-30  
2018-03-29  
2018-03-28  
2018-03-27  
2018-03-26  
2018-03-25  
2018-03-24  
2018-03-23  
2018-03-22  
2018-03-21  
2018-03-20  
2018-03-19  
2018-03-18  
2018-03-17  
2018-03-16  
2018-03-15  
2018-03-14  
2018-03-13  
2018-03-12  
2018-03-11  
2018-03-10  
2018-03-09  
2018-03-08  
2018-03-07  
2018-03-06  
2018-03-05  
2018-03-04  
2018-03-03  
2018-03-02  
2018-03-01  
2018-02-28  
2018-02-27  
2018-02-26  
2018-02-25  
2018-02-24  
2018-02-23  
2018-02-22  
2018-02-21  
2018-02-20  
2018-02-19  
2018-02-18  
2018-02-17  
2018-02-16  
2018-02-15  
2018-02-14  
2018-02-13  
2018-02-12  
2018-02-11  
2018-02-10  
2018-02-09  
2018-02-08  
2018-02-07  
2018-02-06  
2018-02-05  
2018-02-04  
2018-02-03  
2018-02-02  
2018-02-01  
2018-01-31  
2018-01-30  
2018-01-29  
2018-01-28  
2018-01-27  
2018-01-26  
2018-01-25  
2018-01-24  
2018-01-23  
2018-01-22  
2018-01-21  
2018-01-20  
2018-01-19  
2018-01-18  
2018-01-17  
2018-01-16  
2018-01-15  
2018-01-14  
2018-01-13  
2018-01-12  
2018-01-11  
2018-01-10  
2018-01-09  
2018-01-08  
2018-01-07  
2018-01-06  
2018-01-05  
2018-01-04  
2018-01-03  
2018-01-02  
2018-01-01  
2017-12-31  
2017-12-30  
2017-12-29  
2017-12-28  
2017-12-27  
2017-12-26  
2017-12-25  
2017-12-24  
2017-12-23  
2017-12-22  
2017-12-21  
2017-12-20  
2017-12-19  
2017-12-18  
2017-12-17  
2017-12-16  
2017-12-15  
2017-12-14  
2017-12-13  
2017-12-12  
2017-12-11  
2017-12-10  
2017-12-09  
2017-12-08  
2017-12-07  
2017-12-06  
2017-12-05  
2017-12-04  
2017-12-03  
2017-12-02  
2017-12-01  
2017-11-30  
2017-11-29  
2017-11-28  
2017-11-27  
2017-11-26  
2017-11-25  
2017-11-24  
2017-11-23  
2017-11-22  
2017-11-21  
2017-11-20  
2017-11-19  
2017-11-18  
2017-11-17  
2017-11-16  
2017-11-15  
2017-11-14  
2017-11-13  
2017-11-12  
2017-11-11  
2017-11-10  
2017-11-09  
2017-11-08  
2017-11-07  
2017-11-06  
2017-11-05  
2017-11-04  
2017-11-03  
2017-11-02  
2017-11-01  
2017-10-31  
2017-10-30  
2017-10-29  
2017-10-28  
2017-10-27  
2017-10-26  
2017-10-25  
2017-10-24  
2017-10-23  
2017-10-22  
2017-10-21  
2017-10-20  
2017-10-19  
2017-10-18  
2017-10-17  
2017-10-16  
2017-10-15  
2017-10-14  
2017-10-13  
2017-10-12  
2017-10-11  
2017-10-10  
2017-10-09  
2017-10-08  
2017-10-07  
2017-10-06  
2017-10-05  
2017-10-04  
2017-10-03  
2017-10-02  
2017-10-01  
2017-09-30  
2017-09-29  
2017-09-28  
2017-09-27  
2017-09-26  
2017-09-25  
2017-09-24  
2017-09-23  
2017-09-22  
2017-09-21  
2017-09-20  
2017-09-19  
2017-09-18  
2017-09-17  
2017-09-16  
2017-09-15  
2017-09-14  
2017-09-13  
2017-09-12  
2017-09-11  
2017-09-10  
2017-09-09  
2017-09-08  
2017-09-07  
2017-09-06  
2017-09-05  
2017-09-04  
2017-09-03  
2017-09-02  
2017-09-01  
2017-08-31  
2017-08-30  
2017-08-29  
2017-08-28  
2017-08-27  
2017-08-26  
2017-08-25  
2017-08-24  
2017-08-23  
2017-08-22  
2017-08-21  
2017-08-20  
2017-08-19  
2017-08-18  
2017-08-17  
2017-08-16  
2017-08-15  
2017-08-14  
2017-08-13  
2017-08-12  
2017-08-11  
2017-08-10  
2017-08-09  
2017-08-08  
2017-08-07  
2017-08-06  
2017-08-05  
2017-08-04  
2017-08-03  
2017-08-02  
2017-08-01  
2017-07-31  
2017-07-30  
2017-07-29  
2017-07-28  
2017-07-27  
2017-07-26  
2017-07-25  
2017-07-24  
2017-07-23  
2017-07-22  
2017-07-21  
2017-07-20  
2017-07-19  
2017-07-18  
2017-07-17  
2017-07-16  
2017-07-15  
2017-07-14  
2017-07-13  
2017-07-12  
2017-07-11  
2017-07-10  
2017-07-09  
2017-07-08  
2017-07-07  
2017-07-06  
2017-07-05  
2017-07-04  
2017-07-03  
2017-07-02  
2017-07-01  
2017-06-30  
2017-06-29  
2017-06-28  
2017-06-27  
2017-06-26  
2017-06-25  
2017-06-24  
2017-06-23  
2017-06-22  
2017-06-21  
2017-06-20  
2017-06-19  
2017-06-18  
2017-06-17  
2017-06-16  
2017-06-15  
2017-06-14  
2017-06-13  
2017-06-12  
2017-06-11  
2017-06-10  
2017-06-09  
2017-06-08  
2017-06-07  
2017-06-06  
2017-06-05  
2017-06-04  
2017-06-03  
2017-06-02  
2017-06-01  
2017-05-31  
2017-05-30  
2017-05-29  
2017-05-28  
2017-05-27  
2017-05-26  
2017-05-25  
2017-05-24  
2017-05-23  
2017-05-22  
2017-05-21  
2017-05-20  
2017-05-19  
2017-05-18  
2017-05-17  
2017-05-16  
2017-05-15  
2017-05-14  
2017-05-13  
2017-05-12  
2017-05-11  
2017-05-10  
2017-05-09  
2017-05-08  
2017-05-07  
2017-05-06  
2017-05-05  
2017-05-04  
2017-05-03  
2017-05-02  
2017-05-01  
2017-04-30  
2017-04-29  
2017-04-28  
2017-04-27  
2017-04-26  
2017-04-25  
2017-04-24  
2017-04-23  
2017-04-22  
2017-04-21  
2017-04-20  
2017-04-19  
2017-04-18  
2017-04-17  
2017-04-16  
2017-04-15  
2017-04-14  
2017-04-13  
2017-04-12  
2017-04-11  
2017-04-10  
2017-04-09  
2017-04-08  
2017-04-07  
2017-04-06  
2017-04-05  
2017-04-04  
2017-04-03  
2017-04-02  
2017-04-01  
2017-03-31  
2017-03-30  
2017-03-29  
2017-03-28  
2017-03-27  
2017-03-26  
2017-03-25  
2017-03-24  
2017-03-23  
2017-03-22  
2017-03-21  
2017-03-20  
2017-03-19  
2017-03-18  
2017-03-17  
2017-03-16  
2017-03-15  
2017-03-14  
2017-03-13  
2017-03-12  
2017-03-11  
2017-03-10  
2017-03-09  
2017-03-08  
2017-03-07  
2017-03-06  
2017-03-05  
2017-03-04  
2017-03-03  
2017-03-02  
2017-03-01  
2017-02-28  
2017-02-27  
2017-02-26  
2017-02-25  
2017-02-24  
2017-02-23  
2017-02-22  
2017-02-21  
2017-02-20  
2017-02-19  
2017-02-18  
2017-02-17  
2017-02-16  
2017-02-15  
2017-02-14  
2017-02-13  
2017-02-12  
2017-02-11  
2017-02-10  
2017-02-09  
2017-02-08  
2017-02-07  
2017-02-06  
2017-02-05  
2017-02-04  
2017-02-03  
2017-02-02  
2017-02-01  
2017-01-31  
2017-01-30  
2017-01-29  
2017-01-28  
2017-01-27  
2017-01-26  
2017-01-25  
2017-01-24  
2017-01-23  
2017-01-22  
2017-01-21  
2017-01-20  
2017-01-19  
2017-01-18  
2017-01-17  
2017-01-16  
2017-01-15  
2017-01-14  
2017-01-13  
2017-01-12  
2017-01-11  
2017-01-10  
2017-01-09  
2017-01-08  
2017-01-07  
2017-01-06  
2017-01-05  
2017-01-04  
2017-01-03  
2017-01-02  
2017-01-01  
2016-12-31  
2016-12-30  
2016-12-29  
2016-12-28  
2016-12-27  
2016-12-26  
2016-12-25  
2016-12-24  
2016-12-23  
2016-12-22  
2016-12-21  
2016-12-20  
2016-12-19  
2016-12-18  
2016-12-17  
2016-12-16  
2016-12-15  
2016-12-14  
2016-12-13  
2016-12-12  
2016-12-11  
2016-12-10  
2016-12-09  
2016-12-08  
2016-12-07  
2016-12-06  
2016-12-05  
2016-12-04  
2016-12-03  
2016-12-02  
2016-12-01  
2016-11-30  
2016-11-29  
2016-11-28  
2016-11-27  
2016-11-26  
2016-11-25  
2016-11-24  
2016-11-23  
2016-11-22  
2016-11-21  
2016-11-20  
2016-11-19  
2016-11-18  
2016-11-17  
2016-11-16  
2016-11-15  
2016-11-14  
2016-11-13  
2016-11-12  
2016-11-11  
2016-11-10  
2016-11-09  
2016-11-08  
2016-11-07  
2016-11-06  
2016-11-05  
2016-11-04  
2016-11-03  
2016-11-02  
2016-11-01  
2016-10-31  
2016-10-30  
2016-10-29  
2016-10-28  
2016-10-27  
2016-10-26  
2016-10-25  
2016-10-24  
2016-10-23  
2016-10-22  
2016-10-21  
2016-10-20  
2016-10-19  
2016-10-18  
2016-10-17  
2016-10-16  
2016-10-15  
2016-10-14  
2016-10-13  
2016-10-12  
2016-10-11  
2016-10-10  
2016-10-09  
2016-10-08  
2016-10-07  
2016-10-06  
2016-10-05  
2016-10-04  
2016-10-03  
2016-10-02  
2016-10-01  
2016-09-30  
2016-09-29  
2016-09-28  
2016-09-27  
2016-09-26  
2016-09-25  
2016-09-24  
2016-09-23  
2016-09-22  
2016-09-21  
2016-09-20  
2016-09-19  
2016-09-18  
2016-09-17  
2016-09-16  
2016-09-15  
2016-09-14  
2016-09-13  
2016-09-12  
2016-09-11  
2016-09-10  
2016-09-09  
2016-09-08  
2016-09-07  
2016-09-06  
2016-09-05  
2016-09-04  
2016-09-03  
2016-09-02  
2016-09-01  
2016-08-31  
2016-08-30  
2016-08-29  
2016-08-28  
2016-08-27  
2016-08-26  
2016-08-25  
2016-08-24  
2016-08-23  
2016-08-22  
2016-08-21  
2016-08-20  
2016-08-19  
2016-08-18  
2016-08-17  
2016-08-16  
2016-08-15  
2016-08-14  
2016-08-13  
2016-08-12  
2016-08-11  
2016-08-10  
2016-08-09  
2016-08-08  
2016-08-07  
2016-08-06  
2016-08-05  
2016-08-04  
2016-08-03  
2016-08-02  
2016-08-01  
2016-07-31  
2016-07-30  
2016-07-29  
2016-07-28  
2016-07-27  
2016-07-26  
2016-07-25  
2016-07-24  
2016-07-23  
2016-07-22  
2016-07-21  
2016-07-20  
2016-07-19  
2016-07-18  
2016-07-17  
2016-07-16  
2016-07-15  
2016-07-14  
2016-07-13  
2016-07-12  
2016-07-11  
2016-07-10  
2016-07-09  
2016-07-08  
2016-07-07  
2016-07-06  
2016-07-05  
2016-07-04  
2016-07-03  
2016-07-02  
2016-07-01  
2016-06-30  
2016-06-29  
2016-06-28  
2016-06-27  
2016-06-26  
2016-06-25  
2016-06-24  
2016-06-23  
2016-06-22  
2016-06-21  
2016-06-20  
2016-06-19  
2016-06-18  
2016-06-17  
2016-06-16  
2016-06-15  
2016-06-14  
2016-06-13  
2016-06-12  
2016-06-11  
2016-06-10  
2016-06-09  
2016-06-08  
2016-06-07  
2016-06-06  
2016-06-05  
2016-06-04  
2016-06-03  
2016-06-02  
2016-06-01  
2016-05-31  
2016-05-30  
2016-05-29  
2016-05-28  
2016-05-27  
2016-05-26  
2016-05-25  
2016-05-24  
2016-05-23  
2016-05-22  
2016-05-21  
2016-05-20  
2016-05-19  
2016-05-18  
2016-05-17  
2016-05-16  
2016-05-15  
2016-05-14  
2016-05-13  
2016-05-12  
2016-05-11  
2016-05-10  
2016-05-09  
2016-05-08  
2016-05-07  
2016-05-06  
2016-05-05  
2016-05-04  
2016-05-03  
2016-05-02  
2016-05-01  
2016-04-30  
2016-04-29  
2016-04-28  
2016-04-27  
2016-04-26  
2016-04-25  
2016-04-24  
2016-04-23  
2016-04-22  
2016-04-21  
2016-04-20  
2016-04-19  
2016-04-18  
2016-04-17  
2016-04-16  
2016-04-15  
2016-04-14  
2016-04-13  
2016-04-12  
2016-04-11  
2016-04-10  
2016-04-09  
2016-04-08  
2016-04-07  
2016-04-06  
2016-04-05  
2016-04-04  
2016-04-03  
2016-04-02  
2016-04-01  
2016-03-31  
2016-03-30  
2016-03-29  
2016-03-28  
2016-03-27  
2016-03-26  
2016-03-25  
2016-03-24  
2016-03-23  
2016-03-22  
2016-03-21  
2016-03-20  
2016-03-19  
2016-03-18  
2016-03-17  
2016-03-16  
2016-03-15  
2016-03-14  
2016-03-13  
2016-03-12  
2016-03-11  
2016-03-10  
2016-03-09  
2016-03-08  
2016-03-07  
2016-03-06  
2016-03-05  
2016-03-04  
2016-03-03  
2016-03-02  
2016-03-01  
2016-02-29  
2016-02-28  
2016-02-27  
2016-02-26  
2016-02-25  
2016-02-24  
2016-02-23  
2016-02-22  
2016-02-21  
2016-02-20  
2016-02-19  
2016-02-18  
2016-02-17  
2016-02-16  
2016-02-15  
2016-02-14  
2016-02-13  
2016-02-12  
2016-02-11  
2016-02-10  
2016-02-09  
2016-02-08  
2016-02-07  
2016-02-06  
2016-02-05  
2016-02-04  
2016-02-03  
2016-02-02  
2016-02-01  
2016-01-31  
2016-01-30  
2016-01-29  
2016-01-28  
2016-01-27  
2016-01-26  
2016-01-25  
2016-01-24  
2016-01-23  
2016-01-22  
2016-01-21  
2016-01-20  
2016-01-19  
2016-01-18  
2016-01-17  
2016-01-16  
2016-01-15  
2016-01-14  
2016-01-13  
2016-01-12  
2016-01-11  
2016-01-10  
2016-01-09  
2016-01-08  
2016-01-07  
2016-01-06  
2016-01-05  
2016-01-04  
2016-01-03  
2016-01-02  
2016-01-01  
2015-12-31  
2015-12-30  
2015-12-29  
2015-12-28  
2015-12-27  
2015-12-26  
2015-12-25  
2015-12-24  
2015-12-23  
2015-12-22  
2015-12-21  
2015-12-20  
2015-12-19  
2015-12-18  
2015-12-17  
2015-12-16  
2015-12-15  
2015-12-14  
2015-12-13  
2015-12-12  
2015-12-11  
2015-12-10  
2015-12-09  
2015-12-08  
2015-12-07  
2015-12-06  
2015-12-05  
2015-12-04  
2015-12-03  
2015-12-02  
2015-12-01  
2015-11-30  
2015-11-29  
2015-11-28  
2015-11-27  
2015-11-26  
2015-11-25  
2015-11-24  
2015-11-23  
2015-11-22  
2015-11-21  
2015-11-20  
2015-11-19  
2015-11-18  
2015-11-17  
2015-11-16  
2015-11-15  
2015-11-14  
2015-11-13  
2015-11-12  
2015-11-11  
2015-11-10  
2015-11-09  
2015-11-08  
2015-11-07  
2015-11-06  
2015-11-05  
2015-11-04  
2015-11-03  
2015-11-02  
2015-11-01  
2015-10-31  
2015-10-30  
2015-10-29  
2015-10-28  
2015-10-27  
2015-10-26  
2015-10-25  
2015-10-24  
2015-10-23  
2015-10-22  
2015-10-21  
2015-10-20  
2015-10-19  
2015-10-18  
2015-10-17  
2015-10-16  
2015-10-15  
2015-10-14  
2015-10-13  
2015-10-12  
2015-10-11  
2015-10-10  
2015-10-09  
2015-10-08  
2015-10-07  
2015-10-06  
2015-10-05  
2015-10-04  
2015-10-03  
2015-10-02  
2015-10-01  
2015-09-30  
2015-09-29  
2015-09-28  
2015-09-27  
2015-09-26  
2015-09-25  
2015-09-24  
2015-09-23  
2015-09-22  
2015-09-21  
2015-09-20  
2015-09-19  
2015-09-18  
2015-09-17  
2015-09-16  
2015-09-15  
2015-09-14  
2015-09-13  
2015-09-12  
2015-09-11  
2015-09-10  
2015-09-09  
2015-09-08  
2015-09-07  
2015-09-06  
2015-09-05  
2015-09-04  
2015-09-03  
2015-09-02  
2015-09-01  
2015-08-31  
2015-08-30  
2015-08-29  
2015-08-28  
2015-08-27  
2015-08-26  
2015-08-25  
2015-08-24  
2015-08-23  
2015-08-22  
2015-08-21  
2015-08-20  
2015-08-19  
2015-08-18  
2015-08-17  
2015-08-16  
2015-08-15  
2015-08-14  
2015-08-13  
2015-08-12  
2015-08-11  
2015-08-10  
2015-08-09  
2015-08-08  
2015-08-07  
2015-08-06  
2015-08-05  
2015-08-04  
2015-08-03  
2015-08-02  
2015-08-01  
2015-07-31  
2015-07-30  
2015-07-29  
2015-07-28  
2015-07-27  
2015-07-26  
2015-07-25  
2015-07-24  
2015-07-23  
2015-07-22  
2015-07-21  
2015-07-20  
2015-07-19  
2015-07-18  
2015-07-17  
2015-07-16  
2015-07-15  
2015-07-14  
2015-07-13  
2015-07-12  
2015-07-11  
2015-07-10  
2015-07-09  
2015-07-08  
2015-07-07  
2015-07-06  
2015-07-05  
2015-07-04  
2015-07-03  
2015-07-02  
2015-07-01  
2015-06-30  
2015-06-29  
2015-06-28  
2015-06-27  
2015-06-26  
2015-06-25  
2015-06-24  
2015-06-23  
2015-06-22  
2015-06-21  
2015-06-20  
2015-06-19  
2015-06-18  
2015-06-17  
2015-06-16  
2015-06-15  
2015-06-14  
2015-06-13  
2015-06-12  
2015-06-11  
2015-06-10  
2015-06-09  
2015-06-08  
2015-06-07  
2015-06-06  
2015-06-05  
2015-06-04  
2015-06-03  
2015-06-02  
2015-06-01  
2015-05-31  
2015-05-30  
2015-05-29  
2015-05-28  
2015-05-27  
2015-05-26  
2015-05-25  
2015-05-24  
2015-05-23  
2015-05-22  
2015-05-21  
2015-05-20  
2015-05-19  
2015-05-18  
2015-05-17  
2015-05-16  
2015-05-15  
2015-05-14  
2015-05-13  
2015-05-12  
2015-05-11  
2015-05-10  
2015-05-09  
2015-05-08  
2015-05-07  
2015-05-06  
2015-05-05  
2015-05-04  
2015-05-03  
2015-05-02  
2015-05-01  
2015-04-30  
2015-04-29  
2015-04-28  
2015-04-27  
2015-04-26  
2015-04-25  
2015-04-24  
2015-04-23  
2015-04-22  
2015-04-21  
2015-04-20  
2015-04-19  
2015-04-18  
2015-04-17  
2015-04-16  
2015-04-15  
2015-04-14  
2015-04-13  
2015-04-12  
2015-04-11  
2015-04-10  
2015-04-09  
2015-04-08  
2015-04-07  
2015-04-06  
2015-04-05  
2015-04-04  
2015-04-03  
2015-04-02  
2015-04-01  
2015-03-31  
2015-03-30  
2015-03-29  
2015-03-28  
2015-03-27  
2015-03-26  
2015-03-25  
2015-03-24  
2015-03-23  
2015-03-22  
2015-03-21  
2015-03-20  
2015-03-19  
2015-03-18  
2015-03-17  
2015-03-16  
2015-03-15  
2015-03-14  
2015-03-13  
2015-03-12  
2015-03-11  
2015-03-10  
2015-03-09  
2015-03-08  
2015-03-07  
2015-03-06  
2015-03-05  
2015-03-04  
2015-03-03  
2015-03-02  
2015-03-01  
2015-02-28  
2015-02-27  
2015-02-26  
2015-02-25  
2015-02-24  
2015-02-23  
2015-02-22  
2015-02-21  
2015-02-20  
2015-02-19  
2015-02-18  
2015-02-17  
2015-02-16  
2015-02-15  
2015-02-14  
2015-02-13  
2015-02-12  
2015-02-11  
2015-02-10  
2015-02-09  
2015-02-08  
2015-02-07  
2015-02-06  
2015-02-05  
2015-02-04  
2015-02-03  
2015-02-02  
2015-02-01  
2015-01-31  
2015-01-30  
2015-01-29  
2015-01-28  
2015-01-27  
2015-01-26  
2015-01-25  
2015-01-24  
2015-01-23  
2015-01-22  
2015-01-21  
2015-01-20  
2015-01-19  
2015-01-18  
2015-01-17  
2015-01-16  
2015-01-15  
2015-01-14  
2015-01-13  
2015-01-12  
2015-01-11  
2015-01-10  
2015-01-09  
2015-01-08  
2015-01-07  
2015-01-06  
2015-01-05  
2015-01-04  
2015-01-03  
2015-01-02  
2015-01-01  
2014-12-31  
2014-12-30  
2014-12-29  
2014-12-28  
2014-12-27  
2014-12-26  
2014-12-25  
2014-12-24  
2014-12-23  
2014-12-22  
2014-12-21  
2014-12-20  
2014-12-19  
2014-12-18  
2014-12-17  
2014-12-16  
2014-12-15  
2014-12-14  
2014-12-13  
2014-12-12  
2014-12-11  
2014-12-10  
2014-12-09  
2014-12-08  
2014-12-07  
2014-12-06  
2014-12-05  
2014-12-04  
2014-12-03  
2014-12-02  
2014-12-01  
2014-11-30  
2014-11-29  
2014-11-28  
2014-11-27  
2014-11-26  
2014-11-25  
2014-11-24  
2014-11-23  
2014-11-22  
2014-11-21  
2014-11-20  
2014-11-19  
2014-11-18  
2014-11-17  
2014-11-16  
2014-11-15  
2014-11-14  
2014-11-13  
2014-11-12  
2014-11-11  
2014-11-10  
2014-11-09  
2014-11-08  
2014-11-07  
2014-11-06  
2014-11-05  
2014-11-04  
2014-11-03  
2014-11-02  
2014-11-01  
2014-10-31  
2014-10-30  
2014-10-29  
2014-10-28  
2014-10-27  
2014-10-26  
2014-10-25  
2014-10-24  
2014-10-23  
2014-10-22  
2014-10-21  
2014-10-20  
2014-10-19  
2014-10-18  
2014-10-17  
2014-10-16  
2014-10-15  
2014-10-14  
2014-10-13  
2014-10-12  
2014-10-11  
2014-10-10  
2014-10-09  
2014-10-08  
2014-10-07  
2014-10-06  
2014-10-05  
2014-10-04  
2014-10-03  
2014-10-02  
2014-10-01  
2014-09-30  
2014-09-29  
2014-09-28  
2014-09-27  
2014-09-26  
2014-09-25  
2014-09-24  
2014-09-23  
2014-09-22  
2014-09-21  
2014-09-20  
2014-09-19  
2014-09-18  
2014-09-17  
2014-09-16  
2014-09-15  
2014-09-14  
2014-09-13  
2014-09-12  
2014-09-11  
2014-09-10  
2014-09-09  
2014-09-08  
2014-09-07  
2014-09-06  
2014-09-05  
2014-09-04  
2014-09-03  
2014-09-02  
2014-09-01  
2014-08-31  
2014-08-30  
2014-08-29  
2014-08-28  
2014-08-27  
2014-08-26  
2014-08-25  
2014-08-24  
2014-08-23  
2014-08-22  
2014-08-21  
2014-08-20  
2014-08-19  
2014-08-18  
2014-08-17  
2014-08-16  
2014-08-15  
2014-08-14  
2014-08-13  
2014-08-12  
2014-08-11  
2014-08-10  
2014-08-09  
2014-08-08  
2014-08-07  
2014-08-06  
2014-08-05  
2014-08-04  
2014-08-03  
2014-08-02  
2014-08-01  
2014-07-31  
2014-07-30  
2014-07-29  
2014-07-28  
2014-07-27  
2014-07-26  
2014-07-25  
2014-07-24  
2014-07-23  
2014-07-22  
2014-07-21  
2014-07-20  
2014-07-19  
2014-07-18  
2014-07-17  
2014-07-16  
2014-07-15  
2014-07-14  
2014-07-13  
2014-07-12  
2014-07-11  
2014-07-10  
2014-07-09  
2014-07-08  
2014-07-07  
2014-07-06  
2014-07-05  
2014-07-04  
2014-07-03  
2014-07-02  
2014-07-01  
2014-06-30  
2014-06-29  
2014-06-28  
2014-06-27  
2014-06-26  
2014-06-25  
2014-06-24  
2014-06-23  
2014-06-22  
2014-06-21  
2014-06-20  
2014-06-19  
2014-06-18  
2014-06-17  
2014-06-16  
2014-06-15  
2014-06-14  
2014-06-13  
2014-06-12  
2014-06-11  
2014-06-10  
2014-06-09  
2014-06-08  
2014-06-07  
2014-06-06  
2014-06-05  
2014-06-04  
2014-06-03  
2014-06-02  
2014-06-01  
2014-05-31  
2014-05-30  
2014-05-29  
2014-05-28  
2014-05-27  
2014-05-26  
2014-05-25  
2014-05-24  
2014-05-23  
2014-05-22  
2014-05-21  
2014-05-20  
2014-05-19  
2014-05-18  
2014-05-17  
2014-05-16  
2014-05-15  
2014-05-14  
2014-05-13  
2014-05-12  
2014-05-11  
2014-05-10  
2014-05-09  
2014-05-08  
2014-05-07  
2014-05-06  
2014-05-05  
2014-05-04  
2014-05-03  
2014-05-02  
2014-05-01  
2014-04-30  
2014-04-29  
2014-04-28  
2014-04-27  
2014-04-26  
2014-04-25  
2014-04-24  
2014-04-23  
2014-04-22  
2014-04-21  
2014-04-20  
2014-04-19  
2014-04-18  
2014-04-17  
2014-04-16  
2014-04-15  
2014-04-14  
2014-04-13  
2014-04-12  
2014-04-11  
2014-04-10  
2014-04-09  
2014-04-08  
2014-04-07  
2014-04-06  
2014-04-05  
2014-04-04  
2014-04-03  
2014-04-02  
2014-04-01  
2014-03-31  
2014-03-30  
2014-03-29  
2014-03-28  
2014-03-27  
2014-03-26  
2014-03-25  
2014-03-24  
2014-03-23  
2014-03-22  
2014-03-21  
2014-03-20  
2014-03-19  
2014-03-18  
2014-03-17  
2014-03-16  
2014-03-15  
2014-03-14  
2014-03-13  
2014-03-12  
2014-03-11  
2014-03-10  
2014-03-09  
2014-03-08  
2014-03-07  
2014-03-06  
2014-03-05  
2014-03-04  
2014-03-03  
2014-03-02  
2014-03-01  
2014-02-28  
2014-02-27  
2014-02-26  
2014-02-25  
2014-02-24  
2014-02-23  
2014-02-22  
2014-02-21  
2014-02-20  
2014-02-19  
2014-02-18  
2014-02-17  
2014-02-16  
2014-02-15  
2014-02-14  
2014-02-13  
2014-02-12  
2014-02-11  
2014-02-10  
2014-02-09  
2014-02-08  
2014-02-07  
2014-02-06  
2014-02-05  
2014-02-04  
2014-02-03  
2014-02-02  
2014-02-01  
2014-01-31  
2014-01-30  
2014-01-29  
2014-01-28  
2014-01-27  
2014-01-26  
2014-01-25  
2014-01-24  
2014-01-23  
2014-01-22  
2014-01-21  
2014-01-20  
2014-01-19  
2014-01-18  
2014-01-17  
2014-01-16  
2014-01-15  
2014-01-14  
2014-01-13  
2014-01-12  
2014-01-11  
2014-01-10  
2014-01-09  
2014-01-08  
2014-01-07  
2014-01-06  
2014-01-05  
2014-01-04  
2014-01-03  
2014-01-02  
2014-01-01  
2013-12-31  
2013-12-30  
2013-12-29  
2013-12-28  
2013-12-27  
2013-12-26  
2013-12-21  
2013-12-20  
2013-12-19  
2013-12-18  
2013-12-17  
2013-12-16  
2013-12-15  
2013-12-14  
2013-12-13  
2013-12-12  
2013-12-11  
2013-12-10  
2013-12-09  
2013-12-08  
2013-12-07  
2013-12-06  
2013-12-05  
2013-12-04  
2013-12-03  
2013-12-02  
2013-12-01  
2013-11-30  
2013-11-29  
2013-11-28  
2013-11-27  
2013-11-26  
2013-11-25  
2013-11-24  
2013-11-23  
2013-11-22  
2013-11-21  
2013-11-20  
2013-11-19  
2013-11-18  
2013-11-17  
2013-11-16  
2013-11-15  
2013-11-14  
2013-11-13  
2013-11-12  
2013-11-11  
2013-11-10  
2013-11-09  
2013-11-08  
2013-11-07  
2013-11-06  
2013-11-05  
2013-11-04  
2013-11-03  
2013-11-02  
2013-11-01  
2013-10-31  
2013-10-30  
2013-10-29  
2013-10-28  
2013-10-27  
2013-10-26  
2013-10-25  
2013-10-24  
2013-10-23  
2013-10-22  
2013-10-21  
2013-10-20  
2013-10-19  
2013-10-18  
2013-10-17  
2013-10-16  
2013-10-15  
2013-10-14  
2013-10-13  
2013-10-12  
2013-10-11  
2013-10-10  
2013-10-09  
2013-10-08  
2013-10-07  
2013-10-06  
2013-10-05  
2013-10-04  
2013-10-03  
2013-10-02  
2013-10-01  
2013-09-30  
2013-09-29  
2013-09-28  
2013-09-27  
2013-09-26  
2013-09-25  
2013-09-24  
2013-09-23  
2013-09-22  
2013-09-21  
2013-09-20  
2013-09-19  
2013-09-18  
2013-09-17  
2013-09-16  
2013-09-15  
2013-09-14  
2013-09-13  
2013-09-12  
2013-09-11  
2013-09-10  
2013-09-09  
2013-09-08  
2013-09-07  
2013-09-06  
2013-09-05  
2013-09-04  
2013-09-03  
2013-09-02  
2013-09-01  
2013-08-31  
2013-08-30  
2013-08-29  
2013-08-28  
2013-08-27  
2013-08-26  
2013-08-25  
2013-08-24  
2013-08-23  
2013-08-22  
2013-08-21  
2013-08-20  
2013-08-19  
2013-08-18  
2013-08-17  
2013-08-16  
2013-08-15  
2013-08-14  
2013-08-13  
2013-08-12  
2013-08-11  
2013-08-10  
2013-08-09  
2013-08-08  
2013-08-07  
2013-08-06  
2013-08-05  
2013-08-04  
2013-08-03  
2013-08-02  
2013-08-01  
2013-07-31  
2013-07-30  
2013-07-29  
2013-07-28  
2013-07-27  
2013-07-26  
2013-07-25  
2013-07-24  
2013-07-23  
2013-07-22  
2013-07-21  
2013-07-20  
2013-07-19  
2013-07-18  
2013-07-17  
2013-07-16  
2013-07-15  
2013-07-14  
2013-07-13  
2013-07-12  
2013-07-11  
2013-07-10  
2013-07-09  
2013-07-08  
2013-07-07  
2013-07-06  
2013-07-05  
2013-07-04  
2013-07-03  
2013-07-02  
2013-07-01  
2013-06-30  
2013-06-29  
2013-06-28  
2013-06-27  
2013-06-26  
2013-06-25  
2013-06-24  
2013-06-23  
2013-06-22  
2013-06-21  
2013-06-20  
2013-06-19  
2013-06-18  
2013-06-17  
2013-06-16  
2013-06-15  
2013-06-14  
2013-06-13  
2013-06-12  
2013-06-11  
2013-06-10  
2013-06-09  
2013-06-08  
2013-06-07  
2013-06-06  
2013-06-05  
2013-06-04  
2013-06-03  
2013-06-02  
2013-06-01  
2013-05-31  
2013-05-30  
2013-05-29  
2013-05-28  
2013-05-27  
2013-05-26  
2013-05-25  
2013-05-24  
2013-05-23  
2013-05-22  
2013-05-21  
2013-05-20  
2013-05-19  
2013-05-18  
2013-05-17  
2013-05-16  
2013-05-15  
2013-05-14  
2013-05-13  
2013-05-12  
2013-05-11  
2013-05-10  
2013-05-09  
2013-05-08  
2013-05-07  
2013-05-06  
2013-05-05  
2013-05-04  
2013-05-03  
2013-05-02  
2013-05-01  
2013-04-30  
2013-04-29  
2013-04-28  
2013-04-27  
2013-04-26  
2013-04-25  
2013-04-24  
2013-04-23  
2013-04-22  
2013-04-21  
2013-04-20  
2013-04-19  
2013-04-18  
2013-04-17  
2013-04-16  
2013-04-15  
2013-04-14  
2013-04-13  
2013-04-12  
2013-04-11  
2013-04-10  
2013-04-09  
2013-04-08  
2013-04-07  
2013-04-06  
2013-04-05  
2013-04-04  
2013-04-03  
2013-04-02  
2013-04-01  
2013-03-31  
2013-03-30  
2013-03-29  
2013-03-28  
2013-03-27  
2013-03-26  
2013-03-25  
2013-03-24  
2013-03-23  
2013-03-22  
2013-03-21  
2013-03-20  
2013-03-19  
2013-03-18  
2013-03-17  
2013-03-16  
2013-03-15  
2013-03-14  
2013-03-13  
2013-03-12  
2013-03-11  
2013-03-10  
2013-03-09  
2013-03-08  
2013-03-07  
2013-03-06  
2013-03-05  
2013-03-04  
2013-03-03  
2013-03-02  
2013-03-01  
2013-02-28  
2013-02-27  
2013-02-26  
2013-02-25  
2013-02-24  
2013-02-23  
2013-02-22  
2013-02-21  
2013-02-20  
2013-02-19  
2013-02-18  
2013-02-17  
2013-02-16  
2013-02-15  
2013-02-14  
2013-02-13  
2013-02-12  
2013-02-11  
2013-02-10  
2013-02-09  
2013-02-08  
2013-02-07  
2013-02-06  
2013-02-05  
2013-02-04  
2013-02-03  
2013-02-02  
2013-02-01  
2013-01-31  
2013-01-30  
2013-01-29  
2013-01-28  
2013-01-27  
2013-01-26  
2013-01-25  
2013-01-24  
2013-01-23  
2013-01-22  
2013-01-21  
2013-01-20  
2013-01-19  
2013-01-18  
2013-01-17  
2013-01-16  
2013-01-15  
2013-01-14  
2013-01-13  
2013-01-12  
2013-01-11  
2013-01-10  
2013-01-09  
2013-01-08  
2013-01-07  
2013-01-06  
2013-01-05  
2013-01-04  
2013-01-03  
2013-01-02  
2013-01-01  
2012-12-31  
2012-12-30  
2012-12-29  
2012-12-28  
2012-12-27  
2012-12-26  
2012-12-25  
2012-12-24  
2012-12-23  
2012-12-22  
2012-12-21  
2012-12-20  
2012-12-19  
2012-12-18  
2012-12-17  
2012-12-16  
2012-12-15  
2012-12-14  
2012-12-13  
2012-12-12  
2012-12-11  
2012-12-10  
2012-12-09  
2012-12-08  
2012-12-07  
2012-12-06  
2012-12-05  
2012-12-04  
2012-12-03  
2012-12-02  
2012-12-01  
2012-11-30  
2012-11-29  
2012-11-28  
2012-11-27  
2012-11-26  
2012-11-25  
2012-11-24  
2012-11-23  
2012-11-22  
2012-11-21  
2012-11-20  
2012-11-19  
2012-11-18  
2012-11-17  
2012-11-16